Sosyal Güvenlik Kurumu (SGK), mülkiyetinde bulunan taşınmazları satışa çıkardığını duyurdu. Resmî ilan kapsamında yer alan gayrimenkuller, elektronik ortamda açık artırma yöntemiyle alıcı bulacak.
Satış süreci, Kurumun internet sitesi üzerinden erişilebilen Elektronik Satış Portalı aracılığıyla yürütülecek. İhaleye katılmak isteyenler başvurularını dijital ortam üzerinden gerçekleştirecek.
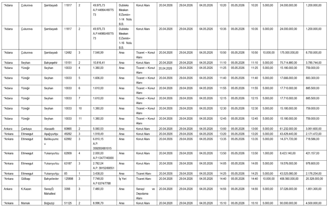
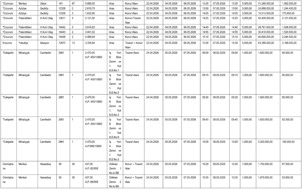
İHALE TARİHLERİ NETLEŞTİ
Satışa sunulan taşınmazlar için ihale süreci 04 Mayıs 2026 ile 15 Mayıs 2026 tarihleri arasında gerçekleştirilecek. Açık artırma usulüyle yapılacak ihalelerde, yatırımcılar belirlenen tarihler arasında teklif verebilecek.
Başvuru süresi sona erdikten sonra herhangi bir şekilde yeni başvuru kabul edilmeyecek. Bu nedenle sürecin dikkatle takip edilmesi önem taşıyor.
BAŞVURULAR E-DEVLET ÜZERİNDEN
İhaleye katılmak isteyenler, e-Devlet Kapısı üzerinden Sosyal Güvenlik Kurumu Elektronik Satış Portalı’na giriş yaparak başvurularını gerçekleştirebilecek.
Portal üzerinden;
- İhale dokümanları incelenebilecek
- Taşınmazlara ait detaylı bilgilere ulaşılabilecek
- Başvuru işlemleri tamamlanabilecek
- Tüm dokümanlar ücretsiz olarak görüntülenebilecek.
TEMİNAT ŞARTI VE ÖDEME DETAYLARI
İhaleye katılacak olan isteklilerin, satın almak istedikleri taşınmaz için belirlenen teminat bedelini yatırmaları gerekiyor.
Teminat sürecine ilişkin detaylar şu şekilde:
- Nakit teminatlar, yetkili bankalara yatırılacak
- Teminat mektubu ile katılım sağlanacaksa, ilgili belgelerin SGK birimlerine teslim edilmesi zorunlu olacak
- Teminat olarak yalnızca Türk parası veya bankalar tarafından verilen süresiz teminat mektupları kabul edilecek
- Belirlenen şartlara uygun olmayan teminatlar geçersiz sayılacak.
İHALE BEDELİ PEŞİN ÖDENECEK
İhaleyi kazanan katılımcılar, teklif ettikleri bedeli peşin olarak Sosyal Güvenlik Kurumu hesaplarına yatırmakla yükümlü olacak.
Satış sürecine ilişkin açıklamada, verilen bilgilerin genel bilgilendirme niteliğinde olduğu ve Kurumun ihaleyi yapıp yapmama konusunda serbest olduğu da vurgulandı.
YASAKLI KİŞİLERE SIKI DENETİM
İhale sürecinde dikkat çeken bir diğer önemli nokta ise katılımcılara yönelik denetimler oldu. 2886 sayılı Devlet İhale Kanunu ve 4734 sayılı Kamu İhale Kanunu kapsamında ihaleye katılması yasak olan kişilerin tespit edilmesi halinde;
- İhale iptal edilecek
- İlgili kişiler hakkında Cumhuriyet Savcılığına suç duyurusunda bulunulacak
Kurum, bu süreçte isteklilerin beyanlarını esas alacak ancak gerekli kontrolleri de gerçekleştirecek.
DETAYLI BİLGİ İÇİN BAŞVURU KANALLARI
İhaleye ilişkin daha fazla bilgi almak isteyenler, Sosyal Güvenlik Kurumu tarafından paylaşılan iletişim numaraları üzerinden yetkililere ulaşabilecek.
Elektronik satış sistemi üzerinden yürütülecek bu süreç, gayrimenkul yatırımı yapmak isteyenler için önemli bir fırsat olarak öne çıkıyor. Özellikle dijital başvuru imkânı sayesinde ihaleye katılımın daha geniş kitlelere ulaşması bekleniyor.










Yorumlar
Kalan Karakter: