Ankara Emlak Piyasası Canlanıyor: 38 Adet Taşınmaz Tek Tek Satılacak
Ankara Büyükşehir Belediyesi (ABB), mülkiyetinde bulunan ve büyük çoğunluğunu değerli arsaların oluşturduğu toplam 38 adet taşınmazı, 2886 sayılı Devlet İhale Kanunu’nun 36. maddesi gereğince kapalı teklif usulü ile peşin perakende (tek tek/ayrı ayrı) satışa sunuyor. 13 Kasım 2025 tarihinde gerçekleştirilecek olan bu dev ihale, başkentin emlak ve inşaat sektörüne önemli bir hareketlilik getirecek potansiyele sahip.
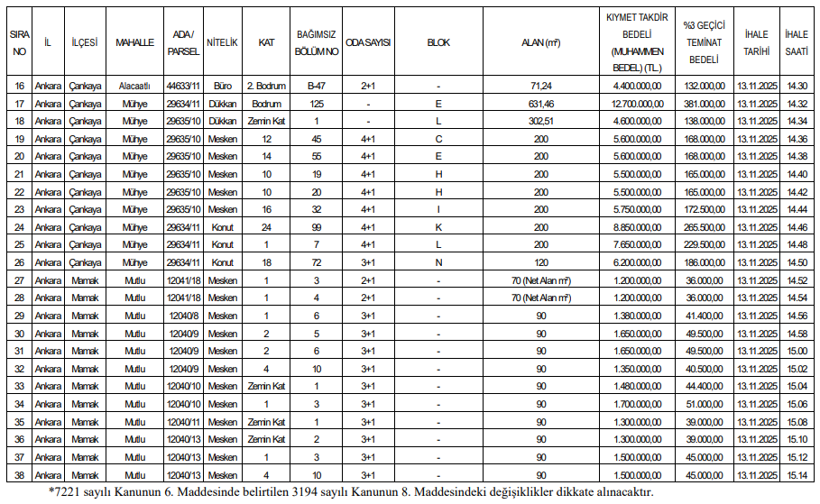
İhale listesi, Altındağ’ın gelişim potansiyeli yüksek Konut Alanlarından, Çankaya’nın prestijli Keklikpınarı ve Mühye mahallelerindeki lüks konut, dükkan ve bürolara; Akyurt’ta yer alan devasa Kentsel Servis Alanı’ndan, Etimesgut ve Mamak’taki cazip konut arsalarına kadar geniş bir yelpazeyi kapsıyor. İhale edilecek tüm taşınmazların kıymet takdir bedeli (muhammen bedeli), geçici teminat bedeli, ihale tarihi ve saati listede ayrıntılı olarak belirtilmiştir.
Dev Arsalar ve Lüks Konutlar Dikkat Çekiyor
Satışa sunulan taşınmazlar arasında özellikle büyük yüzölçümüne sahip ve yüksek muhammen bedelli arsalar, yatırımcıların odağında yer alıyor.
Akyurt Saracalar'da Kentsel Servis Alanı: 5.651 metrekare alana sahip bu dev arsa, 102.000.000 TL muhammen bedeli ve E:1.00, Yençok: 20 kat yapılaşma koşulu ile lojistik, depolama veya kentsel servis projeleri geliştirmek isteyen büyük yatırımcılar için en cazip kalem olarak öne çıkıyor. Bu tek arsanın muhammen bedeli, tüm listenin üçte ikisini oluşturmaktadır.
Çankaya'nın Gözde Noktaları: Keklikpınarı’ndaki Konut Alanı parselleri (538 m²’den 620 m²’ye kadar) ve Mühye’deki lüks sitelerdeki konut, dükkan ve bürolar, yüksek yaşam standardı arayanlar ve ticari yatırım yapmak isteyenler için kaçırılmayacak fırsatlar sunuyor. Örneğin, Mühye’de yer alan 4+1 dairelerin muhammen bedelleri 5.500.000 TL ile 8.850.000 TL arasında değişiyor.
Altındağ ve Pursaklar'da Gelişim Alanları: Altındağ Feridunçelik ve Pursaklar Saray mahallelerindeki Konut Alanı imarlı arsalar ise, özellikle kentsel dönüşüm ve yeni konut projeleri geliştirmek isteyen inşaat firmaları için önemli bir portföy genişletme imkânı sunuyor. Pursaklar’daki 6.401 m² ve 7.136 m²’lik iki büyük arsa, sırasıyla 45.000.000 TL ve 50.000.000 TL muhammen bedelle listede yer alıyor.
| İlçe | Nitelik | Toplam Adet | Muhtemel Yatırımcı Profili |
| Altındağ | Arsa | 6 | Konut geliştiriciler, küçük ölçekli müteahhitler |
| Akyurt | Arsa | 1 | Büyük kurumsal yatırımcılar, lojistik/servis şirketleri |
| Çankaya | Arsa, Konut, Dükkan, Büro | 14 | Bireysel konut alıcıları, kurumsal ofis ve perakende yatırımcıları |
| Etimesgut | Arsa | 1 | Büyük konut projeleri geliştiren firmalar |
| Mamak | Arsa, Mesken | 11 | Konut alıcıları, orta ve küçük ölçekli müteahhitler |
| Pursaklar | Arsa | 2 | Orta ve büyük ölçekli konut geliştiricileri |
İhale Süreci ve Katılım Şartları
İhale, 13 Kasım 2025 Perşembe günü saat 14.00'te başlayacak ve her bir taşınmaz için belirlenen saat aralıklarında Belediye Hizmet Binasının B-Blok 1. katındaki ENCÜMEN salonunda, Belediye Encümeni huzurunda gerçekleştirilecektir.
İsteklilerin ihaleye katılabilmesi için, listede belirtilen muhammen bedelin %3’ü oranındaki geçici teminat bedelini yatırmaları ve şartnameyi temin etmeleri zorunludur. İhale Şartnamesi ve ekleri, en geç 13.11.2025 Perşembe günü saat 11.00’e kadar ABB Emlak ve İstimlak Dairesi Başkanlığı’ndan 2.000,00 TL + KDV karşılığında alınabilecektir.
Teklif mektuplarının ise en geç 13 Kasım 2025 Perşembe günü saat 12.00’ye kadar Encümen Başkanlığına (7. katta bulunan Yazı İşleri ve Kararlar Dairesi Başkanlığına) teslim edilmesi gerekmektedir. Kapalı teklif usulünün gereği olarak, teklifler bir iç zarf içerisinde sunulacak ve şartnamede belirtilen tüm belgeler (geçici teminat, yer görme belgesi, kimlik/faaliyet belgeleri vb.) dış zarfın içinde eksiksiz olarak bulunmalıdır.
Önemli Uyarı: İhaleyi kazanan (alıcı), satış bedeli ile birlikte ihale karar pulu, sözleşme karar pulu, ilan ve tapu harçları gibi bütün giderleri peşin olarak ödemek zorundadır. İhale Komisyonu (Encümen), ihaleyi yapıp yapmamakta serbest olup, İta Amiri’nin onayını takiben geçerlilik kazanacaktır.
Yatırımcıların, tüm detayları öğrenmek ve şartnamedeki hükümlere tam olarak uymak için Ankara Büyükşehir Belediyesi Emlak ve İstimlak Dairesi Başkanlığı ile iletişime geçmeleri önem arz etmektedir.
İletişim Bilgileri:
İDARENİN ADI: ANKARA BÜYÜKŞEHİR BELEDİYE BAŞKANLIĞI
ADRES: Emniyet Mahallesi Hipodrom Caddesi No:5 Kat 14 Yenimahalle/Ankara
TELEFON: 0 312 507 25 69
WEB: www.ankara.bel.tr


Yorumlar
Kalan Karakter: