Ankara Büyükşehir Belediye Başkanlığı (ABB), mülkiyeti belediyeye ait 36 taşınmazın satışına ilişkin ihale ilanını yayımladı. Resmî duyuruya göre; arsa, konut, mesken, büro ve dükkân nitelikli taşınmazlar, 2886 sayılı Devlet İhale Kanunu’nun 36. maddesi uyarınca kapalı teklif usulü ile ayrı ayrı satışa sunulacak. Satışlar, Ankara’nın Altındağ, Akyurt, Çankaya, Etimesgut, Mamak ve Pursaklar ilçelerinde yer alan farklı büyüklük ve imar durumlarına sahip taşınmazları kapsıyor.
İhaleler, 22 Ocak 2026 Perşembe günü Ankara Büyükşehir Belediyesi Hizmet Binası’nda Belediye Encümeni tarafından gerçekleştirilecek. İlan kapsamında, muhammen bedeller, geçici teminat tutarları ve ihale saatleri taşınmaz bazında tek tek belirlendi.
SATIŞA ÇIKARILAN TAŞINMAZLARIN GENEL ÖZELLİKLERİ
İhale listesinde yer alan taşınmazlar; arsa, konut, mesken, büro ve dükkan niteliklerinden oluşuyor. Arsa satışlarında konut alanı, ticaret alanı ve kentsel servis alanı imar durumları dikkat çekiyor. Taşınmazların yüzölçümleri 70 metrekareden başlayarak 7 bin metrekareyi aşan büyüklüklere kadar ulaşıyor.
Muhammen bedeller ise yaklaşık 480 bin TL’den başlayıp 115 milyon TL’ye kadar yükseliyor. Bu yönüyle ihale, hem bireysel alıcıları hem de yatırımcıları yakından ilgilendiriyor.
İLÇE İLÇE DİKKAT ÇEKEN SATIŞLAR
İlan edilen taşınmazlar arasında özellikle Çankaya, Etimesgut ve Akyurt ilçelerinde yer alan yüksek bedelli arsalar öne çıkıyor. Akyurt Saracalar Mahallesi’nde bulunan ve kentsel servis alanı imarına sahip 5.651 metrekarelik arsanın muhammen bedeli 102 milyon TL olarak belirlendi.
Etimesgut Eryaman Mahallesi’nde ticaret alanı imarlı 5.473 metrekarelik arsa için ise 115 milyon TL muhammen bedel açıklandı. Altındağ Feridunçelik Mahallesi’nde yer alan daha küçük ölçekli konut alanı arsaları ise farklı bütçelere hitap eden seçenekler sunuyor.
KONUT, MESKEN VE TİCARİ BAĞIMSIZ BÖLÜMLER
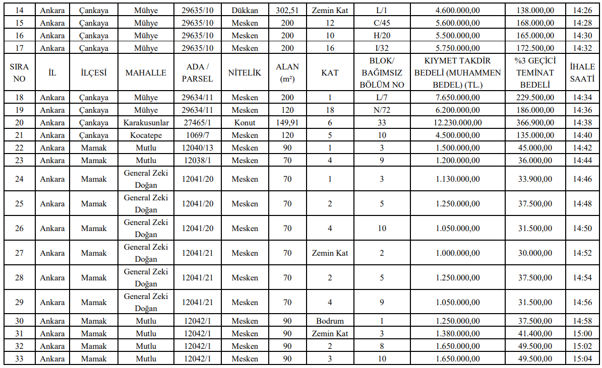
İhale listesinde yalnızca arsalar değil, aynı zamanda çok sayıda mesken, büro ve dükkan da yer alıyor. Çankaya Mühye, Alacaatlı, Karakusunlar ve Kocatepe mahallelerinde bulunan bağımsız bölümler; kat, blok ve daire numaralarıyla birlikte satışa sunuldu.
Mamak ilçesinde Mutlu ve General Zeki Doğan mahallelerinde yer alan meskenler ise daha düşük metrekare ve bedellerle dikkat çekiyor. Bu taşınmazların muhammen bedelleri 1 milyon TL seviyesinden başlayarak kademeli olarak artıyor.
GEÇİCİ TEMİNAT VE SATIŞ ŞARTLARI
İhaleye katılmak isteyen isteklilerin, her taşınmaz için belirlenen %3 oranındaki geçici teminat bedelini yatırmaları gerekiyor. Geçici teminatlar, nakit olarak yatırılabileceği gibi 2886 sayılı Kanuna uygun banka teminat mektubu ile de sunulabiliyor.
Satışlar peşin ödeme şartıyla yapılacak. Satış bedeliyle birlikte ihale karar pulu, sözleşme karar pulu, ilan giderleri ve diğer yasal giderlerin tamamı alıcı tarafından ödenecek.
ŞARTNAME TEMİNİ VE İNCELEME SÜRECİ
İhaleye katılmak isteyenler, taşınmazlara ait satış şartnamesini en geç 21 Ocak 2026 Çarşamba günü saat 16.00’ya kadar Ankara Büyükşehir Belediyesi Emlak ve İstimlak Dairesi Başkanlığı’ndan temin edebilecek. Şartname bedeli 2.000 TL + KDV olarak belirlendi.
Ayrıca, ihale ile ilgili tüm bilgi ve belgeler mesai saatleri içerisinde ilgili birimde incelenebilecek. Yer görme belgesi ise idare tarafından düzenlenerek isteklilere verilecek.
İHALE TARİHİ VE USULÜ
İhaleler, 22 Ocak 2026 Perşembe günü, Hipodrom Caddesi No:5 adresindeki Ankara Büyükşehir Belediyesi Hizmet Binası’nın B Blok 1. Katındaki Encümen Salonu’nda yapılacak. Her taşınmaz için ihale saatleri ayrı ayrı belirlendi.
Teklif mektuplarının, ihale günü saat 12.00’ye kadar Encümen Başkanlığı’na teslim edilmesi gerekiyor. Bu saatten sonra verilen teklifler değerlendirmeye alınmayacak.
DİĞER HUSUSLAR
İhale sonucunda satışın kesinleşmesi, İta Amirinin onayına bağlı olacak. Satıştan doğan vergi, tapu harcı, ilan giderleri ve tüm yasal masraflar alıcıya ait olacak. İhale ilanı genel bilgi niteliği taşırken, satış işlemlerinde ihale şartnamesi hükümleri esas alınacak.



Yorumlar
Kalan Karakter: