Türkiye’de yatırımcıların yakından takip ettiği taşınmaz satış ilanlarına yenileri eklendi. Gaziantep ve İzmir’de belediyeler tarafından satışa çıkarılan çok sayıda arsa ve taşınmaz, dikkat çeken muhammen bedelleri ve ihale şartlarıyla gündeme geldi. Milyonlarca liralık değerleri bulan taşınmazlar için ihale tarihleri netleşirken, katılım şartları ve detaylar da açıklandı.

GAZİANTEP’TE MİLYONLUK ARSALAR SATIŞTA
Gaziantep Büyükşehir Belediyesi tarafından Şehitkamil ilçesi Karacaören Mahallesi’nde bulunan toplam 5 taşınmaz satışa çıkarıldı. Söz konusu arsaların büyüklükleri 12 bin metrekare ile 25 bin metrekare arasında değişirken, muhammen bedeller ise 49 milyon TL ile 127 milyon TL arasında yer alıyor.
İmar durumları TİCK (Ticaret + Konut) olarak belirlenen taşınmazlarda emsal 1.20 olarak açıklanırken, yapı yüksekliği çoğunlukla 6 kat ile sınırlandırıldı. En yüksek değerli taşınmaz ise 127 milyon 625 bin TL muhammen bedel ile dikkat çekti.
Geçici teminat bedelleri ise 1,4 milyon TL’den başlayarak 3,8 milyon TL’ye kadar yükseliyor. İhale, 22 Nisan 2026 tarihinde saat 15.00’te kapalı teklif usulü ile gerçekleştirilecek.
İHALEYE KATILIM ŞARTLARI AÇIKLANDI
İhaleye katılmak isteyen gerçek ve tüzel kişilerin belirlenen belgeleri eksiksiz şekilde hazırlaması gerekiyor. Teklifler iki zarf halinde sunulacak. İç zarfta teklif mektubu yer alırken, dış zarfta ise ikametgah belgesi, imza sirküleri, şartname, teminat makbuzu ve borcu yoktur yazısı gibi belgeler bulunacak.
Tekliflerin 22 Nisan günü saat 12.00’ye kadar ilgili birime teslim edilmesi gerekiyor. Posta ile gönderilecek başvurularda gecikmeler dikkate alınmayacak.

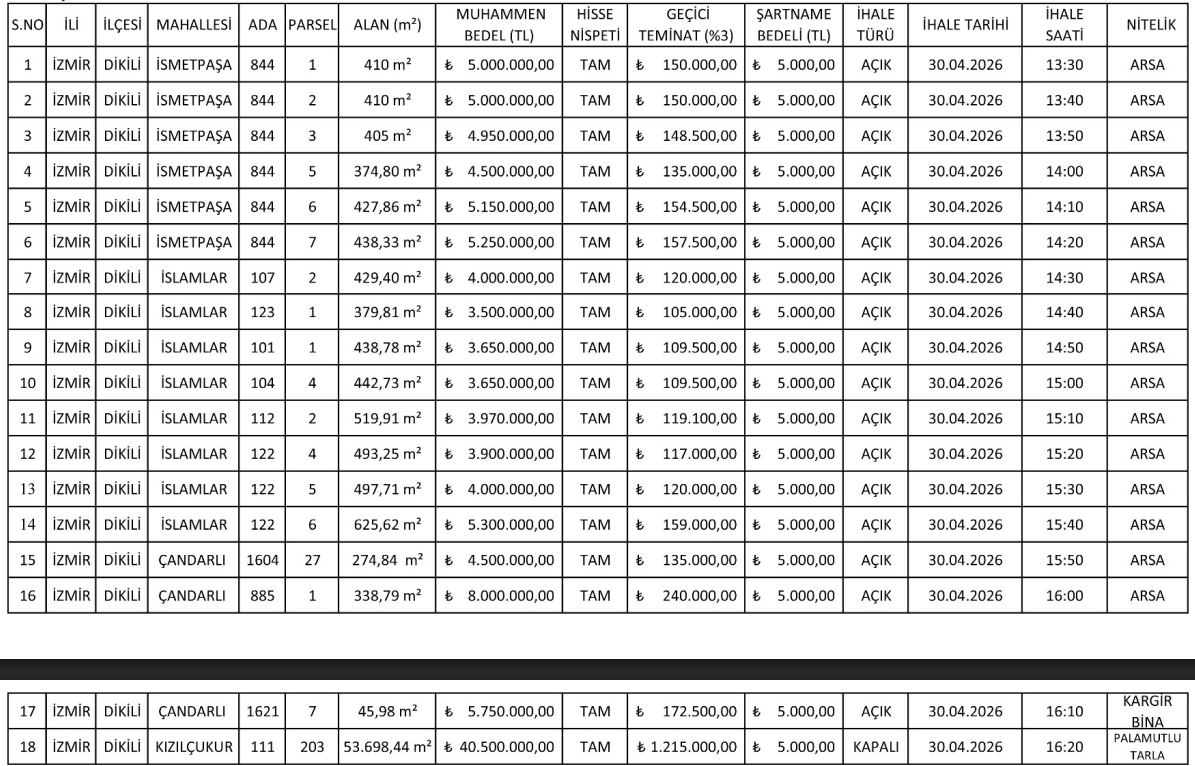
DİKİLİ’DE 18 TAŞINMAZ İHALEYE ÇIKIYOR
İzmir’in Dikili ilçesinde ise belediyeye ait toplam 18 taşınmaz satışa sunuldu. İsmetpaşa, İslamlar, Çandarlı ve Kızılçukur mahallelerinde bulunan taşınmazlar arasında arsa, bina ve tarla vasfında mülkler yer alıyor.
Taşınmazların büyüklükleri 274 metrekare ile 53 bin metrekare arasında değişirken, muhammen bedeller 3 milyon 500 bin Euro’dan başlayarak 40 milyon 500 bin TL’ye kadar ulaşıyor.
İhalelerin büyük bölümü açık teklif usulü ile yapılacakken, yalnızca büyük ölçekli bir tarla için kapalı teklif usulü uygulanacak.
İHALE TARİHİ VE DETAYLAR NETLEŞTİ
Dikili’deki ihaleler 30 Nisan 2026 tarihinde Mustafa Kemal Atatürk Kültür Merkezi’nde gerçekleştirilecek. Saat 13.30’da başlayacak ihaleler, gün boyunca farklı saatlerde devam edecek.
İhaleye katılmak isteyenlerin gerekli belgeleri en geç ihale günü saat 16.00’ya kadar teslim etmeleri gerekiyor. Şartname bedeli ise 5 bin TL olarak açıklandı.
Geçici teminat bedelleri, taşınmazın değerine göre değişiklik gösterirken, genel olarak yüzde 3 oranında hesaplanıyor.

ŞAHİNBEY’DE 25 ARSA DA SATIŞ LİSTESİNDE
Gaziantep’in Şahinbey ilçesinde de belediyeye ait 25 arsa satışa çıkarıldı. Abdulhamidhan, Bağlarbaşı, Bülbülzade, Güzelvadi ve Mavikent gibi mahallelerde bulunan arsalar yatırımcıların ilgisini çekiyor.
Arsaların metrekare büyüklükleri 1.000 metrekare ile 4.000 metrekare arasında değişirken, muhammen bedeller 16 milyon TL’den başlayıp 64 milyon TL’ye kadar yükseliyor.
İmar durumlarına göre 8 kat ile 15 kat arasında yapılaşmaya izin verilen arsalar için birim metrekare fiyatları 8 bin TL ile 19 bin TL arasında belirlendi.
BAŞVURU VE TEMİNAT DETAYLARI
Şahinbey Belediyesi tarafından düzenlenecek ihale, 29 Nisan 2026 tarihinde saat 13.30’da yapılacak. Katılımcıların teklif zarflarını en geç 28 Nisan saat 16.00’ya kadar teslim etmeleri gerekiyor.
Geçici teminat oranı yüzde 3 olarak belirlenirken, teminatlar nakit ya da banka teminat mektubu şeklinde sunulabilecek. Ayrıca ihaleye katılacak kişilerin belediyeye borcu olmadığına dair belge sunması da zorunlu tutuluyor.
YATIRIMCILAR İÇİN KRİTİK TARİHLER
Gaziantep ve İzmir’de gerçekleştirilecek taşınmaz ihaleleri için Nisan ayı kritik bir takvim sunuyor. 22 Nisan’da başlayacak süreç, 30 Nisan’a kadar devam edecek.
Farklı büyüklük ve nitelikteki arsalar, hem bireysel hem de kurumsal yatırımcılar için önemli fırsatlar sunarken, ihale şartları ve teminat tutarları dikkatle incelenmesi gereken unsurlar arasında yer alıyor.
Yoğun katılım beklenen ihalelerde, tekliflerin eksiksiz hazırlanması ve belirtilen süreler içinde teslim edilmesi gerekiyor. Aksi durumda başvurular değerlendirmeye alınmayacak.
Yorumlar
Kalan Karakter: