Balıkesir’in Ayvalık ilçesinde, Güzel Ayvalık Gıda Turizm Sanayi ve Ticaret Limited Şirketi tarafından toplam 9 taşınmaz satışa sunulacak. İhale, 15 Nisan 2026 tarihinde gerçekleştirilecek.
Satış listesinde Altınova, Murateli, Küçükköy ve Sahil Kent mahallelerinde bulunan arsalar yer alıyor. Taşınmazların büyüklükleri 127 metrekare ile 796 metrekare arasında değişirken, fiyatlar 4 milyon TL’den başlayıp 34 milyon 500 bin TL’ye kadar yükseliyor.
İhale, Ayvalık’ta bulunan Vural Sineması Nejat Uygur Sahnesi’nde yapılacak. Açık teklif ve kapalı teklif usullerinin uygulanacağı satışta, bazı parseller için plan durumları ve imar koşulları da dikkat çekiyor.

EN YÜKSEK BEDEL 34,5 MİLYON TL
Ayvalık’taki en yüksek muhammen bedelli taşınmaz, Küçükköy Mahallesi’nde yer alıyor. Planı henüz yürürlüğe girmemiş olan bu arsa için belirlenen satış bedeli 34 milyon 500 bin TL olarak açıklandı.
Sahil Kent Mahallesi’nde bulunan bir diğer dikkat çeken taşınmaz ise sürdürülebilir kontrollü kullanım alanı kapsamında yer alıyor. Bu taşınmaz için belirlenen muhammen bedel ise 17 milyon 100 bin TL.
İhaleye katılmak isteyenlerin, belirlenen geçici teminat bedellerini yatırmaları ve gerekli belgeleri 14 Nisan 2026 saat 17:00’ye kadar teslim etmeleri gerekiyor.

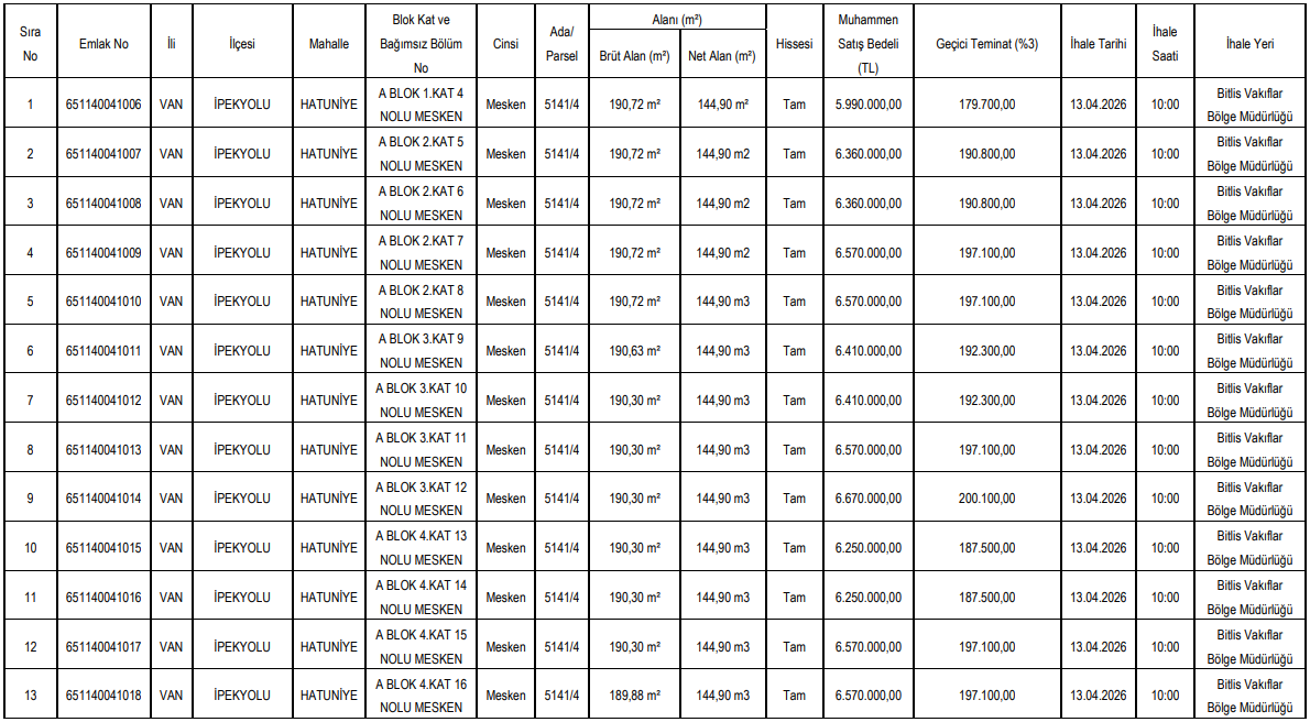
VAN’DA 13 ADET KONUT SATIŞA SUNULDU
Bitlis Vakıflar Bölge Müdürlüğü tarafından Van’ın İpekyolu ilçesinde bulunan toplam 13 konut için satış ihalesi düzenlenecek. İhale tarihi 13 Nisan 2026 olarak açıklandı.
Hatuniye Mahallesi’nde bulunan ve aynı blok içerisinde yer alan dairelerin büyüklüğü yaklaşık 190 metrekare brüt, 144 metrekare net olarak belirtildi.
Konutların fiyatları 5 milyon 990 bin TL ile 6 milyon 670 bin TL arasında değişiyor. Tüm satışlar açık teklif usulü ile gerçekleştirilecek.
İhaleye katılım için geçici teminat bedellerinin ilgili banka hesabına yatırılması ve gerekli belgelerle birlikte başvuru yapılması şartı aranıyor.

SAMSUN’DA TİCARET ALANI SATILIYOR
Devlet Su İşleri 7. Bölge Müdürlüğü tarafından Samsun’un Canik ilçesinde bulunan bir arsa da satış listesine eklendi.
Toplam 1.791 metrekare büyüklüğündeki taşınmaz, ticaret alanı imarına sahip. Muhammen bedeli 35 milyon 827 bin TL olarak belirlenen arsa için ihale 4 Mayıs 2026 tarihinde yapılacak.
Kapalı teklif usulü ile gerçekleştirilecek ihalede, en yüksek teklifi veren istekli taşınmazın sahibi olacak. Satışta KDV ve diğer tüm masrafların alıcıya ait olacağı belirtildi.

KAYSERİ’DE 98 MİLYON TL’LİK DEV İHALE
Kayseri Kocasinan Belediyesi tarafından da 5 adet taşınmaz satışa çıkarıldı. İhale 14 Nisan 2026 tarihinde yapılacak.
Listede yer alan en dikkat çekici taşınmaz, Mithatpaşa Mahallesi’nde bulunan akaryakıt istasyonu alanı oldu. Bu taşınmaz için belirlenen muhammen bedel 98 milyon TL olarak açıklandı.
Diğer taşınmazlar ise konut ve ticaret alanı olarak planlanmış durumda. Fiyatlar 18 milyon TL ile 50 milyon TL arasında değişiyor.
İHALEYE KATILIM ŞARTLARI NELER?
Tüm ihalelerde ortak olarak dikkat çeken bazı şartlar bulunuyor. Gerçek kişiler için kimlik fotokopisi, ikametgah belgesi ve imza beyannamesi gibi belgeler talep edilirken, tüzel kişilerden ticaret sicil gazetesi ve imza sirküleri isteniyor.
Ayrıca ihaleye katılacak herkesin, belirlenen geçici teminat bedelini yatırması zorunlu tutuluyor. Vekaleten katılım sağlanacaksa noter onaylı vekaletname de ibraz edilmesi gerekiyor.
Ortak girişimlerde ise ortaklık beyannamesi sunulması şart koşuluyor.
YATIRIMCILAR İÇİN FIRSAT MI?
Türkiye genelinde farklı şehirlerde satışa çıkarılan taşınmazlar, yatırımcıların dikkatini çekiyor. Konut, arsa ve ticari alan seçeneklerinin bir arada sunulması, farklı bütçelere hitap eden fırsatlar oluşturuyor.
İhalelerin açık ve kapalı teklif usulleriyle yapılacak olması ise rekabeti artırırken, taşınmazların gerçek değerine ulaşmasını sağlıyor.
Nisan ve Mayıs aylarında gerçekleştirilecek bu ihaleler, gayrimenkul piyasasında hareketliliği artıracak gelişmeler arasında gösteriliyor.
Yorumlar
Kalan Karakter: