Kale Belediyesi, mülkiyetinde bulunan çok sayıda taşınmazı satışa çıkardığını duyurdu. Denizli’nin Kale ilçesinde yer alan Gölbaşı, Gülbağlık ve Cevherpaşa mahallelerindeki arsa ve konut nitelikli taşınmazlar, 2886 sayılı Devlet İhale Kanunu kapsamında açık teklif usulüyle satılacak.
Satışa sunulan taşınmazlar arasında farklı büyüklüklerde arsalar ile bir adet dubleks daire de yer alıyor. İhale kapsamında çok sayıda parsel yatırımcıların ilgisine sunulacak.
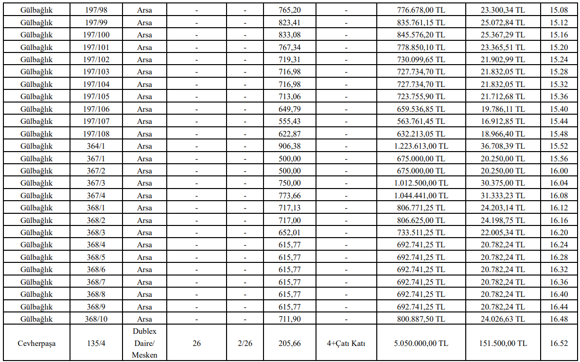
İHALE TARİHİ VE SAATLERİ AÇIKLANDI
Satış ihaleleri, 30 Nisan 2026 tarihinde Belediye Encümeni huzurunda gerçekleştirilecek. İhaleler, belirlenen saat aralıklarında Belediye Meclis Toplantı Salonu’nda yapılacak.
Her bir taşınmaz için ayrı saatlerde ihale yapılacak olup, katılımcıların belirtilen saatlerden önce hazır bulunmaları gerekiyor.

MUHAMMEN BEDELLER VE TEMİNAT TUTARLARI
İhaleye çıkarılan taşınmazların muhammen bedelleri geniş bir aralıkta değişiklik gösteriyor. En düşük bedelli arsalar yüz bin TL seviyelerinde yer alırken, bazı büyük arsalar ve dubleks daire için milyon TL seviyelerinde başlangıç fiyatları belirlendi.
Örneğin Gölbaşı Mahallesi’nde bulunan bazı arsaların muhammen bedelleri 5 milyon TL’ye yaklaşırken, Cevherpaşa Mahallesi’nde yer alan dubleks dairenin bedeli 5 milyon TL’nin üzerinde açıklandı.
Geçici teminat tutarları ise her taşınmaz için ayrı ayrı belirlenmiş durumda.
İHALEYE KATILIM ŞARTLARI DETAYLANDIRILDI
İhaleye katılmak isteyen gerçek ve tüzel kişiler için çeşitli belgeler talep ediliyor. Gerçek kişilerden kimlik, ikametgah ve teminat belgeleri istenirken, tüzel kişiler için ticaret odası kayıtları ve imza sirküleri gibi belgeler gerekiyor.
Ayrıca belediyeye borcu olmadığına dair belge sunulması zorunlu tutuluyor. Ortak girişimle katılacakların ise ilgili belgeleri ayrı ayrı hazırlaması gerekiyor.
BAŞVURU SÜRECİ VE UYARILAR
İhaleye katılacakların belgelerini ihale günü saat 13.45’e kadar ilgili birime teslim etmeleri gerekiyor. Bu saatten sonra yapılan başvurular kabul edilmeyecek.
Telgraf, posta ve faks yoluyla yapılan başvuruların geçersiz sayılacağı belirtilirken, tekliflerin ihale sonrasında geri çekilemeyeceği ifade edildi.

MUĞLA’DA 3 TAŞINMAZ KİRAYA VERİLECEK
Muğla Büyükşehir Belediyesi ise mülkiyetinde bulunan üç taşınmazı kiraya vermek üzere ihale sürecini başlattı. Muğla’nın Fethiye ve Ortaca ilçelerinde bulunan taşınmazlar, 5 yıllığına kiralanacak.
Kiraya verilecek taşınmazlar arasında elektronik satış mağazası ile sebze-meyve alım satım ve paketleme alanları yer alıyor.
KİRALAMA İHALESİNDE USUL VE DETAYLAR
İhaleler, 12 Mayıs 2026 tarihinde Menteşe’de bulunan Türkan Saylan Çağdaş Yaşam Merkezi’nde gerçekleştirilecek. Elektronik satış mağazası için kapalı teklif usulü uygulanırken, diğer taşınmazlar açık teklif usulüyle kiraya verilecek.
Yıllık kira bedelleri milyon TL seviyelerinde belirlenirken, geçici teminat tutarlarının da yüksek olduğu dikkat çekiyor.
BAŞVURU ŞARTLARI VE BELGELER
Muğla’daki ihaleye katılacaklardan kimlik, ikametgah, vergi numarası, teminat belgesi ve şartname onayı gibi belgeler isteniyor. Ayrıca belediyeye borcu olmadığına dair belge sunulması gerekiyor.
İsteklilerin ihale dokümanlarını satın almaları ve yer görme belgesi almaları da şartlar arasında yer alıyor.
SON BAŞVURU TARİHLERİNE DİKKAT
Muğla’daki ihaleler için başvuruların 8 Mayıs 2026 tarihine kadar tamamlanması gerekiyor. Bu tarihten sonra yapılan başvurular değerlendirmeye alınmayacak.
YATIRIMCILAR İÇİN FIRSAT SÜRECİ
Denizli ve Muğla’da gerçekleştirilecek bu ihaleler, farklı ölçeklerde yatırım yapmak isteyenler için çeşitli seçenekler sunuyor. Arsa, konut ve ticari alanları kapsayan ihaleler, önümüzdeki günlerde yatırımcıların gündeminde yer almaya devam edecek.
Yorumlar
Kalan Karakter: