İstanbul Çevre, Şehircilik ve İklim Değişikliği İl Müdürlüğü başta olmak üzere birçok kamu kurumu ve belediye, farklı şehirlerde yer alan yüksek değerli taşınmazları satışa çıkarıyor. İstanbul Anadolu Yakası, Konya ve Mersin’de gerçekleştirilecek ihalelerde konut, arsa, tarla ve ticari alanlar yatırımcılara sunulacak.
2886 sayılı Devlet İhale Kanunu kapsamında yapılacak satışlar, hem açık teklif hem de kapalı teklif usulleriyle gerçekleştirilecek. İhaleler, yatırımcılar için dikkat çekici fırsatlar barındırıyor.

İSTANBUL’DA MİLYONLUK TAŞINMAZLAR SATIŞTA
Anadolu Yakası Milli Emlak Dairesi Başkanlığı tarafından açıklanan ilana göre İstanbul’un farklı ilçelerinde önemli taşınmazlar satışa sunulacak.
Şile Balibey Mahallesi’nde bulunan kamu konutu niteliğindeki taşınmazın tahmini bedeli 17 milyon 293 bin TL olarak belirlenirken, taşınmazda oturanlara öncelikli alım hakkı tanındı.
Kadıköy, Maltepe ve Ümraniye’de yer alan diğer taşınmazlar arasında:
Maltepe’de ticaret + konut alanı olarak planlanan tarla (18,8 milyon TL)
Ümraniye’de kısmen konut ve yol alanı olan arsa (40,24 milyon TL)
yer alıyor.
Ayrıca Üsküdar ve Çekmeköy’de bulunan arsalar ve tarlalar da 18 milyon TL ile 20 milyon TL arasında değişen bedellerle satış listesinde bulunuyor.
İHALE TARİHLERİ VE USULLERİ NETLEŞTİ
İstanbul’daki taşınmazlar için ihaleler 15-16 Nisan 2026 tarihlerinde gerçekleştirilecek. İhaleler açık teklif usulü ile yapılacak ve Üsküdar’daki Milli Emlak Dairesi Başkanlığı binasında düzenlenecek.
Katılımcıların belirlenen geçici teminat bedellerini yatırmaları ve gerekli belgelerle birlikte ihale saatinden önce başvurularını tamamlamaları gerekiyor.

KONYA’DA BELEDİYE KONUTLARI SATIŞA SUNULUYOR
Beyşehir Belediyesi tarafından yapılan açıklamaya göre Konya’nın Beyşehir ilçesinde 5 adet mesken satışa çıkarıldı.
Hacıakif Mahallesi’nde yer alan ve 3+1 özellikteki dairelerin büyüklükleri 135 ila 165 metrekare arasında değişiyor. Satış bedelleri ise:
7 milyon 100 bin TL
7 milyon 200 bin TL
8 milyon 400 bin TL
8 milyon 700 bin TL
9 milyon 200 bin TL
olarak açıklandı.
İhale, 7 Nisan 2026 tarihinde saat 11.00’de belediye encümen salonunda açık artırma usulüyle yapılacak.

MERSİN’DE DEV ARSALAR VE TURİZM ALANLARI SATIŞTA
Mersin Büyükşehir Belediyesi tarafından düzenlenecek ihalelerde ise dikkat çeken büyük ölçekli arsalar satışa sunulacak.
Toplam 8 adet taşınmazın yer aldığı listede özellikle Tarsus ilçesinde bulunan 74 bin metrekarelik sanayi alanı en dikkat çekici yatırım fırsatlarından biri olarak öne çıkıyor. Bu taşınmazın tahmini bedeli tam 460 milyon 800 bin TL olarak açıklandı.
Bunun yanı sıra:
Erdemli’de turizm tesis alanları
Silifke Taşucu’nda ticaret + turizm + konut alanı
Tarsus’ta akaryakıt istasyonu alanı
gibi farklı yatırım alanları da ihaleye dahil edildi.
İhaleler, 8 Nisan 2026 tarihinde kapalı teklif usulüyle gerçekleştirilecek.

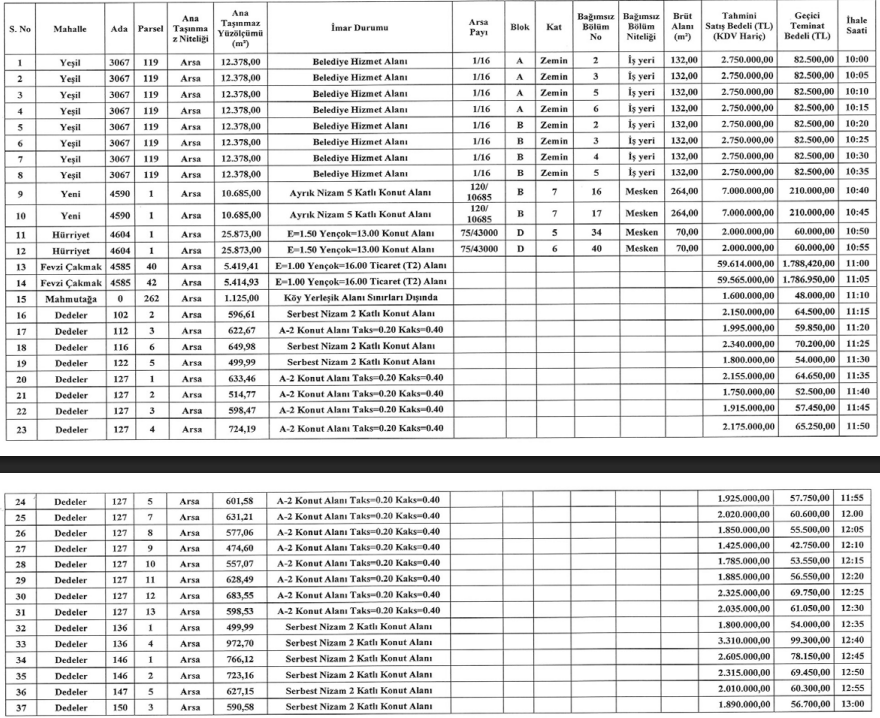
TARSUS BELEDİYESİ’NDEN GENİŞ KAPSAMLI SATIŞ LİSTESİ
Tarsus Belediyesi de çok sayıda taşınmazı satışa çıkardı. Yeşil, Yeni, Hürriyet, Fevzi Çakmak ve Dedeler mahallelerinde yer alan arsa ve iş yerleri yatırımcılara sunuluyor.
Listede küçük ölçekli arsaların yanı sıra:
59 milyon TL’yi aşan büyük arsalar
2 milyon TL civarında konut arsaları
2 milyon 750 bin TL seviyesinde iş yerleri
gibi geniş bir fiyat aralığı dikkat çekiyor.
İhaleler 15 Nisan 2026 tarihinde yapılacak ve tekliflerin en geç bir gün önceden teslim edilmesi gerekiyor.
ÖDEME KOLAYLIKLARI VE VERGİ AVANTAJLARI
İstanbul’daki satışlarda peşin ödeme yapanlara yüzde 20 indirim uygulanırken, taksitli ödeme seçeneği de sunuluyor. Taksitli ödemelerde bedelin en az dörtte biri peşin alınırken kalan kısım iki yıla kadar taksitlendirilebiliyor.
Ayrıca bazı taşınmazların:
KDV’den muaf olması
5 yıl emlak vergisinden muaf tutulması
gibi avantajlar yatırımcıların ilgisini artırıyor.
Yorumlar
Kalan Karakter: